《綜合能源環境規劃及案例 》——氣候變化的減緩與適應(四)
能源發展引起的環境問題很多,而且也很復雜。當我們對未來不同的能源發展戰略進行經濟分析及環境成本效益分析時,如果能把這些因素盡可能多地給予考慮,將有助于我們做出更為切合實際的分析,提出更為科學的判斷。
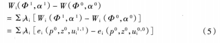
但是,氣候變化、自發調節和適應政策的綜合影響也有有利的實例。與這些變化相關的福利變化為:

這個結果還可通過其他方式獲得,即未實施適應戰略政策時氣候變化的福利變化式(3)和實施適應政策時的凈收益(或成本)式(4)。如果該數值為負數,那么,氣候變化的綜合影響和適應政策為社會福利凈損失。如果該數值為正數,那么,氣候變化和適應政策增加了社會福利。
這一過程的焦點是氣候的變化和適應變化的政策,還可能是制定更好的適應目前氣候這種易變性的政策。本文中所述的框架能夠非常容易地用來評估這些政策的社會福利結果。
為了詳細說明,再設d為一項改善適應氣候易變性能力的一項政策。例如,該政策可能是經完善的惡劣氣候預警系統、資助風險行為的農業計劃改進版本、水市場的開發或預測氣候變化能力的提高。假設氣候未發生變化,該項政策的凈收益或成本可簡化為:


責任編輯:繼電保護
免責聲明:本文僅代表作者個人觀點,與本站無關。其原創性以及文中陳述文字和內容未經本站證實,對本文以及其中全部或者部分內容、文字的真實性、完整性、及時性本站不作任何保證或承諾,請讀者僅作參考,并請自行核實相關內容。
我要收藏
個贊



