《面向智能電網的需求響應及其電價研究》—智能電網下需求響應及相關電價研究(二)
根據以上基本信息,并結合公式(5-21)~(5-23),可以求得該機組的容量成本=989.29元/(KW.h)。根據式(5-24)~(5-26),求得該機組的高峰電量成本=0.126 4元/KW;平段電量成本=0,114 2元/KW;谷段電量成本=0. 114 2元/KW。該機組為中負荷率機組,負荷率大約為=57%。根據式(5-27),得到該機組的基本電價=425.4元/KW。根據式(5-28)~(5-30),得到容量成本在峰段、平段和谷段的分攤系數分別為0.447, 0.316, 0.237。根據式(5—31)~(5—33),該機組的上網電量電價分別為: 0.252 4, 0.233 0, 0.203 3。根據式(5- 34)~(5- 36),得到該機組峰符分時綜合上網電價分別為: 0.337 5, 0.318 1; 0.288 4。由此得到,不同時段下電網企業從該機組購買電量的邊際成本,也即電網企業供電邊際成本如表5-2所示。

假設該電網企業向某一用戶供電,用戶的原始負荷數據如表5一3所示。

基本參量設置如下:
①時段劃分:
高峰負荷時段:8:00~11:00(峰1).18:00~23:00(峰2);
平段負荷時段:7:00~8:00(平1),11: 00 ~18:00(平2);
谷段負荷時段:23:00~7:00。
②原電價為0.4元/KWh,該用戶在峰段、平段和谷段的電力需求彈性分別為-0.21, -0.43、- 0.44。
本算例中拉姆齊指數取=0.108 19。則由式(5—39)~(5—41)計算得峰段電價、平段電價和低谷電價分別0.70、0.125、0.38元/KWh。實行分時電價前后各時段電價、電量如表5-4所示。

從分析結果可知,根據拉姆齊定價原理制定的分時電價,有效地減少了用戶的峰段用電量,谷段電量有所增加,峰谷差有所減小。
5.2.8 市場條件下考慮環境效益的電價聯動模型研究
1.分類用戶的用戶側峰谷分時電價響應
與其他商品市場類似,電力市場也符合商品經濟的基本規律,即用戶會對價格變化作出反應。受生活方式、天氣變化、收入水平、生產班制等的影響,不同用戶對電價變化作出的反應是不一樣的。為此,應該分類考慮各類用戶的電力需求彈性系數。設有N類用戶執行用戶側峰谷分時電價,根據需求彈性的定義,分類用戶的需求彈性系數可以表示為:

2.電價聯動的約束條件
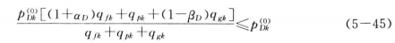
(1)用戶側約束條件。實施峰谷分時電價后,電力用戶根據各時段電價變化情況以平均電價最小化為目標調整安排用電方式。需求側管理的目標之一是至少保證用戶側利益不受損。因此,用戶側在執行峰谷分時電價時至少應保證其平均用電電價不上漲,即:

將式(5-45)簡化處理,得:

上式即為滿足用戶側平均用電電價不上漲的必要條件。
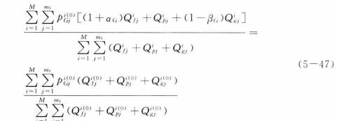
(2)發電側約束條件。現行上網側分時電價制定的基本原則是“保持總體電價水平不變”①。設有M類機組執行發電側分時電價,為了保證發電側平均上網電價不變,有:

②進一步指出,“保持總體電價水平不變”并不能保證不同類型機組的收入不變,因此,在發電側的約束條件設置中還應該確保各類機組的利潤不下降,即

(3)供電側約束條件。為了更好地實施峰谷分時電價,供電公司需要投入大量的費用,如政策宣傳、技術開發、表計安裝、人員培訓等,獲得的相應補01占則較少;供電公司還面臨著用戶電價不確定及上網電價波動帶來的風險,削弱了供電公司推廣峰谷分時電價的積極性。因此,許多提出發電側與用戶側分時電價聯動機制以規避風險,保證供電公司收支平衡。
根據國外需求側管理的經驗,實施峰谷分時電價后電力用戶用電量基本不變或略有減少。另外,供電公司的服務成本(包括技術服務和交易服務)與電量需求量基本呈正相關關系,當電量需求增加時其服務成本也相應增加,反之亦然。因此,保證供電公司售購電價差不下降更為合理,即:

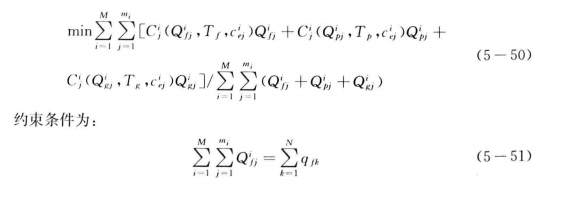
3.電價聯動優化模型的設計
電力市場化改革中一個重要的舉措就是在發電側實行“競價上網”,因此,發電公司必須努力降低發電成本以擴大市場份額,提高市場競爭力。此外,發電成本的降低,使得供電公司可以以較低的購電價格為電力用戶提供服務并降低用戶用電成本.而用戶側整體電價水平的下降又會使其更積極地參與需求側管理,加大“削峰填谷”力度,隨之更進一步降低發電成本,由此形成發電側、供電側及用戶側在參與分時電價項曰時的良性互動。各參與方獲益的根本原因來自于發電成本的下降。以平均發電總成本最低為目標函數,建立雙邊價格聯動的優化模型:


約束條件還包括式(5-45)-(5-49)。此外,還應滿足發電系統的穩定性運行條件及機組的技術最大最小出力限制。
4.計及環境成本的機組發電成本
一般情況下,機組的發電成本既與機組類型有關,也受不同時期發電負荷的影響。例如,對于水能發電、光伏發電及風力發電等可再生能源發電方式,其一般具有建設初期高投資、低運行和維護成本、零燃料成本等特點,發電成本中容量成本占很大部分,可以通過會計成本法測算;對于燃煤發電機組.由于機組在不同時段燃料費用、維修費等是不同的,因此其發電成本受發電負荷的影響比較大。本研究假設在不計環境成本的情況下,機組的邊際發電成本可以用一次函數表示工,即

由于發電功率可以表示為:

機組的單位發電成本函數又可以表示為:

由此可見,我國發電廠的發電成本一般只包括建廠成本、燃料費用、運行維護成本等,而不包括環境成本。如若這樣,不僅造成部分電源的環境價值被無償占有,影響電力資源的優化配置,還會抑制高能效、清潔能源電源的發展0。研究表明,燃煤發電產生的SO2、NO、CO、CO2、TSP(懸浮顆粒物)等廢棄物貢獻了相當大一部分的大氣污染,因此,有必要量化各類發電機組的環境效益,使相關電力工作者及環保部門認清各種發電方式的環境價值,更好地推廣清潔能源發電。
污染物的環境價值是指減排單位污染物所避免的”污染經濟損失”的價值量。環境成本通常包括兩部分:一是由于排放污染物所受到的罰款;二是電廠產生的污染物對環境造成的損失并由此引起的治理費用,如:酸雨、霧霾的產生,生態系統的破壞等。采用罰款措施可以有效抑制高耗能、高污染機組的發電量,促使電廠提高發電環保性。主要污染氣體的罰款數量級如表5-5所示。

機組排放的廢棄物對環境造成的損失可以用各種污染物的環境價值來衡量。假設某一機組在發電過程中共產生N項污染物,每項污染物的排放量為m( g/KW.h).I=一1,2,…,n,第i項污染物的環境價值為V。,(元/Kg),罰款數量級為V.(元/Kg),則此機組單位發電量的環境成本(元/MW.h)可以表示為:

綜合考慮式(5-58)、(5-59),得到計及環境成本的機組發電成本表達式:

參考中國排污總量收費標準和美國環境價值標準,表5-6給出了我國電力行業主要污染物的環境價值標準。

5.算例分析
(1)基礎數據。這里算例叁考①中的數據。用戶側共有兩類用戶執行峰谷分時電價,實施峰谷分時電價前某一時期內的電量需求及銷售電價如表5-7所示,兩類用戶的需求彈性分別如表5-8、表5-9所示。

文中不再是單獨研究某一天峰谷分時電價的實施情況,而是綜合一段較長時期來考察方案的實施效果,峰、平、谷累計時段長均為260h。
發電側共有火電、水電和小火電三個機組,每個機組的發電成本特性曲線系數如表5 -10所示。

各機組的污染物排放量因機組類型不同而各有差異。水電機組相比火電機組較為清潔,其發電過程幾乎不產生污染物;大火電機組一般技術配置高、性能好、能耗低,比小火電機組排出的污染物少,更加環保。火電機組和小火電機組單位發電量的污染物排放量見表5 -11。

根據公式(5-59)結合表5-8、5- 9、5- 14中的數據計算,可得火電及小火電機組單位發電量的環境成本分別為63.279 4(元/MW.h)、80.15:3 5(元lMW.h)。
發電側執行峰谷分時電價前各機組在峰、平、谷時段的發電量及上網電價如表5-12所示。

實施峰谷分時電價前,根據表5-10、表5-15中的數據計算,可得供電公司平均售購電價差為313元/( MW.11),機組平均上網電價為382.22元/(MW.h),機組平均發電總成本為164.83元/(MW.11)。
(2)優化結果。應用Matlab遺傳算法編程求解本節所建立的優化模型。發電側及用戶側優化結果分別參見表5 -13、表5-14。


根據表5 -15、表5-17中的數據顯示,在發電成本中計人環境成本進行發電側優化時,火電、小火電機組發電量均有所減少,而水電機組發電量有所增加,說明該模型的應用能夠使得清潔能源機組的發電比重增加,促進電源結構調整,提高發電環保性。
從優化結果可以看出,實施峰谷分時電價后,機組平均發電總成本由164.83元(MW.h)下降到133.74元/(MW.h).機組平均上網電價由382.22元/(MW.h)下降到375.33元/(MW.h),但各機組利潤并沒有下降,反而均有所增加;供電公司售購電價差仍為313元/( MW.h);用戶側銷售電價基本不變,用戶峰時段電量削減54.91GW.h,谷時段電量增加29 GW.h,峰谷電量比有所下降,削峰填谷效果明顯。
6.結論
針對我國發電廠普遍能耗高、污染重以及日益惡化的環境問題,提出將機組環境成本納入發電成本中的模型,以量化各種發電方式的環境效益。在實施用戶側峰谷分時電價以充分挖掘需求側削峰填谷潛力的同時,以發電側、供電側、用戶側三方利益不受損為約束條件,同時考慮各機組間的上網電量分配問題,建立發電側與用戶側雙邊電價聯動的優化模型。
分析結果表明,雙邊價格聯動機制有利于保證各參與方利益,降低平均發電總成本,增加社會效益,而以環境價值為參考標準的各機組上網電量分配則有利于增加清潔能源機組的發電比重,提高電力行業的環保性。

責任編輯:繼電保護
-
云南能源職業技術學院
2018-06-05云南能源職業技術學院 -
中國科學技術大學熱科學和能源工程系
-
重慶能源職業學院
2018-06-05重慶能源職業學院





