【干貨】光伏電站場區部分接地設計
無論是建設在開闊平原上的常規性光伏電站,還是建立在地勢條件相對復雜的山地光伏電站,接地都具有十分重要的意義。接地可以將雷擊產生的電流引入大地,從而保護光伏電站的電氣設備以及建筑物,同時也能保護工作人員的人身安全。本文中主要淺析光伏電站場區部分接地設計。
光伏場區的接地,通常是直接利用發電場電池方陣的電池板四周的鋁合金框架作為接閃裝置,直接利用金屬支撐架與地網連接。各金屬件之間應保證可靠連接。

光伏電站場區部分接地設計,所依據的規范通常有:
《交流電氣裝置接地設計規范》(GB50065-2011);
《交流電氣裝置的過電壓保護和絕緣配合設計規范》(GBT 50064-2014);
《交流電氣裝置的過電壓保護和絕緣配合》( DL/T 620-1997)。
根據上述規范,光伏電站場區部分的光伏組件接地電阻值要求不大于4Ω。常見土壤電阻率參考值見下表。

在接地設計中,根據地勘報告中當地的土壤電阻率,計算出接地電阻,計算出的接地電阻需滿足規范要求。
下面介紹一下常用的接地電阻計算公式。
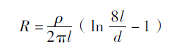
垂直接地極的接地電阻計算公式為:



光伏電站場區通常采用熱鍍鋅鋼管作為垂直接地極。
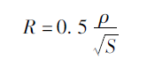
接地網的接地電阻簡化計算公式為:


光伏電站場區的接地網通常采用熱鍍鋅扁鋼。
如果計算出來的接地電阻達不到規范要求,那么通常需要采取一定的降阻措施。降阻措施有:換土法、外延降阻法、深井立體地網法、擴網法、水下接地網法、降阻劑法、安裝電解地極離子接地體或接地模塊等。下面介紹兩種在光伏電站場區接地設計中經常用到的降阻措施。
1、換土法:
換土法,顧名思義,就是將原來土壤電阻率較高的土壤用電阻率低的土壤替換。根據常見土壤電阻率參考值表,可以看出陶土、黏土、泥炭等土壤電阻率較低,可用此類土壤作為替換。換填土是一種比較方便、便宜且有效的方法,但是如果周圍并沒有土壤電阻率較低的土壤,而且運土的代價太大時,則有必要進行技術經濟比較。
2、外延降阻法:
這種降阻法十分簡單,即直接把接地網的面積擴大,或在已建成接地網的附近,找一處電阻率較低的地方,再建設一個新接地網,然后把兩地網連接,使地網的接地電阻降低,這是一種非常簡單又相對經濟的方法,但是在設計過程中還要考慮光伏場區征地范圍。
綜上所述,在工程的實施過程中,還應該考慮當地的地質條件等因素,并進行經技術經濟比較,選擇適合的一種或幾種組合的降阻方法進行接地設計。
除了接地電阻之外,光伏電站場區的接地部分在設計時,還需要考慮以下內容。
一、接地網的敷設。
在需敷設接地網時,接地網的外緣應閉合,外緣各角應做成圓弧形,圓弧半徑不宜小于均壓帶間距的一半。接地網的埋設深度不宜小于0.6m。如果在凍土地區,則可采用深埋法、換土法、預熱法、改變土壤性質法、利用周邊環境法、特殊材料法等。通常情況下采用的是深埋法,即將接地極與接地網敷設在凍土層以下。接地網可以采用長孔網或者方孔網(通常為5m x 5m)。
二、當地的土壤腐蝕性。
在鹽堿地等腐蝕強的地區,對埋入地下的接地體應采取適當的應對措施,如采用抗腐蝕性強的接地體或加厚鍍鋅層等。另外,接地裝置使用年限應與主體工程設計使用年限相當。
以上均為作者個人工作中的一些經驗與總結,歡迎大家留言討論。

責任編輯:蔣桂云


