高壓輸電線路鐵塔組立施工技術分析
高壓輸電線路鐵塔組立施工技術分析
王似松
(天津送變電工程公司,天津300161)
[摘要] 高壓輸電線路鐵塔在電網中占據較為重要的位置,其對提升供電質量有較大的積極影響,為此電力企業需要對組立工作足夠重視。為了更好地發揮其作用及優勢,施工人員需要熟練掌握高壓輸電線路鐵塔組立施工技術要點。因此,對高壓輸電線路鐵塔組立方式進行概述,之后對具體施工技術進行分析,希望為實際組立施工過程提供可供參考的建議。
關鍵詞 高壓輸電線路 鐵塔組立 施工技術
中圖分類號TM754
0引言
隨著經濟及時代的不斷發展,人們對電能的需求量明顯增多。為了保證給人們生產及生活提供更加優質的電能,新建電網及電網改造工程數量明顯增多。高壓輸電線路鐵塔組立是電網施工中的關鍵內容,其施工情況對電網能否正常運行有較大的影響。為了更好地保證其施工質量,需要做好技術交底工作,根據自身經驗,結合有關資料,對高壓輸電線路鐵塔組立施工技術進行分析。
1高壓輸電線路鐵塔組立方式
將高壓輸電線路高度、形狀及其他因素作為依據時,其組立方式主要包括分解組立、倒裝和整體起立。分解組立又分為內拉線抱桿組塔和外拉線抱桿組塔,整體起立在木質電線桿、水泥桿以及T型塔組立施工中較為適用。在實際施工過程中,電力企業需要根據實際情況對以上組立方式進行合理選擇,保證施工質量符合規定要求,進而為人們提供充足、穩定的電能。
2高壓輸電線路鐵塔組立施工技術分析
2.1高壓輸電線路鐵塔內拉線分解組立施工技術分析
第一,對相關標準進行說明。在抱桿送至施工現場后,施工人員需要對其質量及性能等進行嚴格檢查,無任何問題后進行墊平和排直施工。在以上兩工序完成且達標后方能按照要求對抱桿進行合理連接,在連接完成后需要對所有螺栓進行擰緊處理,保證連接的牢固程度,在檢查無誤后便可進行起立施工。在起立過程中,施工人員順著拉線對角線的方向進行,當抱桿腳位置處于中心樁時需要使用鋼筋繩對塔角進行固定處理,在抱桿起立后需要再次擰緊螺栓。在鐵塔組立過程中需要做好如下幾方面工作:
其一,在塔片上升時需要保證支配塔片的繩子同地面的形成的角度在30~40之間;其二,在地面完成組裝的塔片需要使用螺栓做好固定處理,減少組立過程中出現脫落的情況;其三,控制抱桿組裝彎曲程度不超過50 mm;其四,在鐵塔起吊過程中禁止抱桿出觀超載或者彎矩的情況,保證抱桿同地面始終處于垂直狀態,同時保證其根部需要同支點枕木緊密接觸,保證受力均勻;其五,控制待安裝的塔片同已安裝完成塔片的間距在0.3~0.5 m之間;其六,做好橫擔片補強工作;并且需要使用多點起吊的方法進行吊裝,減少其出現變形的情況。
第二,對抱桿設置進行分析。在抱桿分段分成后需要使用內法蘭將其同下端位置進行合理連接,為后期提升過程中抱桿穿過腰環提供便利條件。朝天滑車、朝地滑車和抱桿共同組成內拉抱桿,施工人員需要在抱桿兩側對固定裝置進行合理設置,將抱桿的最高位置同朝天滑車進行連接,借助起吊繩加快鐵塔上升的速度。
第三,對抱桿拉線設置進行分析。抱桿拉線使用的工具包括四根鋼絲繩及卡具,在抱桿連線設置前施工人員需要嚴格按照
的公式對抱桿拉線長度進行計算。式中:L代表抱桿拉線超出綁扎位置的長度,E代表拉線綁扎位置塔身斷面處對角線的長度。在實際設置過程中需要嚴格遵循以下原理:保證承托系統拉線、底盤固定點同中間位置的程度相一致,進而保證抱桿根部位于鐵塔中心位置;根據懸吊物對兩個平衡滑車進行合理布置,為抱桿下拉線符合均勻性提供更多的保障,減少抱桿底部出現滑動的情況。
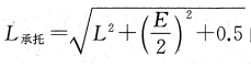
第四,對承托系統設置進行分析。在設置前施工人員需要按照
的公式對承托繩長度進行計算。式中:L代表抱桿底部位置同承托繩綁扎點的距離,E代表承托繩綁扎位置塔身斷面處對角線的長度。為了保證抱桿跟部位于鐵塔中心,需要保證承托系統拉線手板葫蘆長度二致,根據吊物對平衡滑車進行合理設置。
第五,。對塔角組立進行分析。塔角組立包括分件組裝及半邊塔角整體組立兩種,下面對分件組裝進行說明:在基礎位置上對鐵塔腳底座進行合理安裝,在安裝完成后使用地腳螺栓對鐵塔角進行固定處理,與此同時使用螺栓對塔角主材;蒸部位置同底座立板進行合理連接;使用叉桿完成主材起立工作,在起立完成后對所有螺栓進行檢查。保證螺栓的事固程度。
2.2全倒裝組塔施工技術分析
全倒裝組塔施工技術按照塔頭一塔身一塔腿的順序完成組立施工。使用此種方法需要在基礎塔腿外側對倒裝支架進行合理設置,在頂端位置對相應數量的提升滑車組進行懸掛,在懸掛過程中需要保證滑車組相墓對稱。在基礎中線位置對基座進行安裝和固定。在以上工作完成后使用提升架對塔頭進行起吊,在吊裝至指定位置后嚴格按照壓球進行安裝,之后按照上述程序對塔身和塔腿進行分別吊裝和安裝。在全部安裝完成后需要做好全面檢查工作,保證安裝質量。在實際施工過程中需要對提升系統進行合理安裝,提升系統可以為倒裝提升過程提供充足的牽引動力,安裝流程如下:在所有立柱頂部位置對兩個套滑車組進行合理設置,并且將下部滑車組同鐵塔面進行合理連接,使用一個單輪平衡滑車將鋼絲繩同牽引系統進行連接,在設置完成后四根鋼絲繩會位于相同的牽引系統中,能夠同時完成四條塔腿的提升工作。
為了更好地保證組立施工質量,施工人員需要注意如下幾方面內容:其一,在倒裝架中對橫擔進行合理安裝,過封繩時施工人員需要做好倒換工作,在提升系統處于受力狀態下才能對下封繩進行安裝或者解開上封繩,減少立柱出現翻倒的概率;其二,一塔頭提升過程中使用的滑車及鋼絲繩數量相對較多,在實際提升過程中施工人員需要保證所有的滑車及鋼絲繩處于獨立狀態,禁止出現纏繞的情況,使用聯扳對吊點和鐵塔連接位置進行固定處理,避免出現意外事件,其次,在塔體同地面之間的距離在10~20 cm之間時需要停止牽引操作,在停止后施工人員需要組好調平處理,保證塔體的垂直度,為后期安裝提供便利;其四,在牽引系統工作過程中需要派相關人員對轉向滑車進行嚴格管控,減少鋼絲繩跳槽的情出現;其五,在大風或者大雨天氣中禁止進行安裝施工,為施工質量及施工人員生命安全提供更多的保障。
3結束語
高壓輸電線路鐵塔組立施工環境具有一定的特殊性,為了保證組立施工質量,需要做好事前勘察、事中管控及事后調整等工作,本文對內拉線分解組立施工技術、全倒裝組塔施工技術進行分別說明,希望電力企業根據所在區域的特點選擇合理的組立方式,提升高壓輸電線路鐵塔組立施工質量,為電網安全運行奠定基礎。
參考文獻
[1]宋官喜.高壓輸電線路鐵塔倒裝組立施工技術探析[J].機電信息,20114(24):107-109.
[2]朱向欣,探討現代高壓輸電線路施工技術[J].大科技,2015 (31):84-85.。
[3]張可達,芻議1000 kV輸電線路鐵塔組立施工技術[J].通信電源技術,2016,33 (1):114-115,117.
[4]張同華,陳允慶.110 kV輸電線路鐵塔組立施工技術研究 [J].電子制作,2015(3):213.

責任編輯:繼電保護
-
現貨模式下谷電用戶價值再評估
2020-10-10電力現貨市場,電力交易,電力用戶 -
PPT | 高校綜合能源服務有哪些解決方案?
2020-10-09綜合能源服務,清潔供熱,多能互補 -
深度文章 | “十三五”以來電力消費增長原因分析及中長期展望
2020-09-27電力需求,用電量,全社會用電量
-
PPT | 高校綜合能源服務有哪些解決方案?
2020-10-09綜合能源服務,清潔供熱,多能互補 -
深度文章 | “十三五”以來電力消費增長原因分析及中長期展望
2020-09-27電力需求,用電量,全社會用電量 -
我國電力改革涉及的電價問題
-
貴州職稱論文發表選擇泛亞,論文發表有保障
2019-02-20貴州職稱論文發表 -
《電力設備管理》雜志首屆全國電力工業 特約專家征文
2019-01-05電力設備管理雜志 -
國內首座蜂窩型集束煤倉管理創新與實踐
-
人力資源和社會保障部:電線電纜制造工國家職業技能標準
-
人力資源和社會保障部:變壓器互感器制造工國家職業技能標準
-
《低壓微電網并網一體化裝置技術規范》T/CEC 150
2019-01-02低壓微電網技術規范
-
現貨模式下谷電用戶價值再評估
2020-10-10電力現貨市場,電力交易,電力用戶 -
建議收藏 | 中國電價全景圖
2020-09-16電價,全景圖,電力 -
一張圖讀懂我國銷售電價附加
2020-03-05銷售電價附加
-
電氣工程學科排行榜發布!華北電力大學排名第二
-
國家電網61家單位招聘畢業生
2019-03-12國家電網招聘畢業生 -
《電力設備管理》雜志讀者俱樂部會員招募
2018-10-16電力設備管理雜志



