《面向智能電網的需求響應及其電價研究》—可中斷負荷定價及其應用(一)
第6章 可中斷負荷定價及其應用
在整個電價體制中,有多種電價類型,其中,可中斷負荷(Interruptible Load.1L)電價是屬于可靠性電價的一種。IL電價的具體內容可以是售電企業與客戶預先簽訂協議,當電力系統m現高峰負荷供電不足或運行事故時,售電企業可以按照協議內容,預先通知用戶,同時減少或者中斷對崩戶的供電,以此來保障系統的安全運行。因此,實行IL電價來促使電力用戶改變或調節自身用電時間和用電方式,以此來提高整個電網系統的經濟性和安全性。近年來,IL電價的研究越來越受到廣大學者的關往與重視,IL電價也以其高效的調控能力成為電力需求側管理的重要經濟手段。
6.1 IL主要定價模型
IL管理是實行電力需求側管理的重要手段,它不但可以提高電力系統負荷率,降低電力系統的運行成本,實現電力系統經濟運行,同時對電力系統穩定運行也具有非常重要的作用。
日前,IL管理主要通過電力部門與用戶之間簽訂負荷中斷合同,利用電價激勵機制,要求用戶按照合同的規定,削減或者中斷負荷,故下文對各種IL電價模型進行比較與分析。
6.1.1基于可避免成本理論的IL管理模型
IL實施可以延緩或減少部分調峰裝機容量的建設、線路擴容投資以及部分輸電費用,以此帶來的成本節省往往被看作供電公司用來支付給予用戶補償的來源。該成本分為可避免投資成本和可避免運行成本,分別對應于正常供電時所增加的同定投資和運行費用。

IL電價計算公式為:

可避免成本法是基于電力公司節省成本的定價方法,一方面保證了電力公司的利益,但補償電價不是基于參與者的斷電損失確定,不能鼓勵需求側的積極參與;另一方面,實施電力體制改革、廠網分開以后,電網公司往往并不擁有發電廠.而成本的節省涉及發電側和輸電側,這時面臨誰來回收實施可中斷負荷管理帶來的可避免運行成本與可避免投資成本及如何回收的問題。為此,需要協調發電商與供電商之間的利益,因此在實施中有一定因難。
6.1.2 基于激勵機制下的IL管理模型
顯然,用戶擁有的關于自身中斷成本信息要多于電力公司,即雙方的信息足不對稱的,用戶可能夸大自身損失。基于機制設計的方法關鍵是電網公司給出適當的激勵使用戶“說真話”即上報真實缺電成本。這要求滿足兩個約束:個人理性約束,用戶通過可中斷合同獲得的收益必須大于其用電收益,即用戶參與可中斷合同的利潤必須大于零;激勵相容約束,用戶參與IL合同后真實揭露其中斷成本時的利潤大于其策略性報價時的利潤。
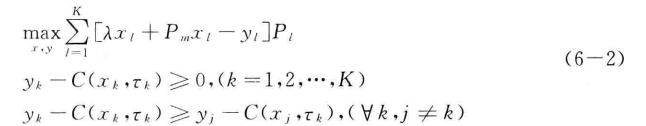
基于委托代理理論的一種IL定價方法的數學描述如式(6-2)。

式中,目標函數表示電力公司中斷收益最大,A表示單位容量輸配電成本和運行費用,x,為用戶負荷削減量,P為批發市場上購電價格,yt為對用戶補償費用,該補償費用包括兩部分即成本補償和信息補償(激勵補償),信息補償即作為激勵用戶因上報真實信息或者供電公司因不能準確掌握用戶信息而付出的成本;Pt表示用戶屬于用戶類型的概率;約束1表示個人理性約束,C為真實中斷成本;約束2表示激勵相容約束。
由于這種建模方法存在博弈規則,用戶為了追求自身的利益最大化也存在一定的博弈行為,因此機制設計就非常重要。這種方法要求供電公司對用戶信息有一定程度的了解,否則無法準確制定合理的激勵政策來保護供電公司及用戶的利益,很容易導致合約失敗。
6.1.3 IL的金融期權定價模型
電力市場環境下,可中斷負荷定價可以基于實時電價來實施,實時電價可以反映電力供給與需求的變化,較高的實時電價意味著負荷很高甚至危及系統安全,這時可以選擇當實時電價高于某一臨界電價時中斷部分負荷以保證系統的穩定,這個臨界電價即為中斷電價。不同于遠期合同和期貨,期權則是一種權利而非義務,只有在有利可圖時期權的買者才會選擇執行該期權,期權的買方為了獲得行使期權的權利需要付一定的期權費即期權價格。期權可以分為看漲期權和看跌期權。看漲期權的持有者有權按敲定價格購買某商品(在電力市場內,交易商品可以是電能、電力期貨合約等);相反,看跌期權持有者有權按敲定價格出售某商品。根據以上原理,供電公司可以購買負荷的中斷權利,實施方法如圖6 -3所示:

電力市場中電力交易通常通過簽訂雙邊合同進行,結合期權的IL合同可以看作電力公司賣出遠期合同的同時買入看漲期權,遠期合同確定合同電價即正常交割時的電力價格;看漲期權確定一個中斷電價,當實時電價高于該價格時.電力公司可按事先規定中斷用戶部分用電,并以中斷電價給予用戶補償;當實時電價低于中斷電價時,則按合同電價進行電力交割。與普通期權不同的是.該期權可以多次執行,其執行次數不定,在合同有效期內依賴于電價變化,因此可中斷合同所結合的期權與傳統期權有本質的不同,是一種新型的復合電力期權。對于看漲期權來說,中斷價格越高,相應期權價格越低;中斷價格越低,相應期權價格越高。^文期權定價的結果間接反映中斷價格,即IL電價可由期權定價的結果反推,文獻'i'rli對中斷電價的優化選擇做了詳盡研究。
IL合同中的期權是基于現貨價格的電力期權,因此準確的電力現貨價格模擬是其估價的基礎,首先結合電價特性建立實時電價模到,然后利用蒙特卡羅模擬法求解期權價格。
智能電網為實時電價實施提供技術支持,電價也因此可以實時反映系統運行狀態。由此可見,IL的金融期權定價是智能電網下的一種較理想定價方式。
6.1.4基于需求側競價下的IL管理模型
這種方法的IL管理模型是基于Pool市場模式,用戶要根據自身的負荷特·陀和自身擁有的負荷中斷能力,根據需求側競價( Demand Sicle t3idding,DSP)原理建立。
電力用戶為降低自己的用電成本,會對電力市場中的電價做出一定的響應,而DSB就是電力市場下的一種需求響應。用戶可以在日前市場或實時市場中提交負荷中斷容量和對應電價,電網公司則可以優化調度可中斷負荷和發電側容量以應對負荷高峰或實現自身利益最大化。
DSB參與發電側競價的競爭力體現在其不受最低發電出力以及機組啟停這部分固定費用的限制。在確保參與DSB用戶削減的負荷在其他時段能夠得到盡快恢復的前提下,DSB可以降低系統的邊際電價。DSB用戶停電的持續時間越短,其單位成本也越低,Pool更愿意將DSI3用戶納入發電計劃中,取代發電成本較高的邊際機組。但是,對比DSB用戶與系統調峰機組的總調峰成本之間的關系可以看到,IL通過競價參與發電計劃后,對系統邊際電價的影響取決于用戶削減的負荷在其他時段得到恢復的程度。如果用戶削減的負荷在其他時段能夠盡快恢復,DSB可以降低系統邊際電價;反之,在電網的高峰負荷期間,很容易由于DSB用戶的參與使得電網出現極高的尖峰價格。所以,在安排用戶參與發電競價過程的同時,合理安排好用戶在其他時段的用電計劃非常重要。在用這種方法建立IL管理模型時,要求供電部門必須能準確地進行負荷預測和運行分配。

責任編輯:繼電保護
-
現貨模式下谷電用戶價值再評估
2020-10-10電力現貨市場,電力交易,電力用戶 -
PPT | 高校綜合能源服務有哪些解決方案?
2020-10-09綜合能源服務,清潔供熱,多能互補 -
深度文章 | “十三五”以來電力消費增長原因分析及中長期展望
2020-09-27電力需求,用電量,全社會用電量
-
PPT | 高校綜合能源服務有哪些解決方案?
2020-10-09綜合能源服務,清潔供熱,多能互補 -
深度文章 | “十三五”以來電力消費增長原因分析及中長期展望
2020-09-27電力需求,用電量,全社會用電量 -
我國電力改革涉及的電價問題
-
貴州職稱論文發表選擇泛亞,論文發表有保障
2019-02-20貴州職稱論文發表 -
《電力設備管理》雜志首屆全國電力工業 特約專家征文
2019-01-05電力設備管理雜志 -
國內首座蜂窩型集束煤倉管理創新與實踐
-
人力資源和社會保障部:電線電纜制造工國家職業技能標準
-
人力資源和社會保障部:變壓器互感器制造工國家職業技能標準
-
《低壓微電網并網一體化裝置技術規范》T/CEC 150
2019-01-02低壓微電網技術規范
-
現貨模式下谷電用戶價值再評估
2020-10-10電力現貨市場,電力交易,電力用戶 -
建議收藏 | 中國電價全景圖
2020-09-16電價,全景圖,電力 -
一張圖讀懂我國銷售電價附加
2020-03-05銷售電價附加
-
電氣工程學科排行榜發布!華北電力大學排名第二
-
國家電網61家單位招聘畢業生
2019-03-12國家電網招聘畢業生 -
《電力設備管理》雜志讀者俱樂部會員招募
2018-10-16電力設備管理雜志



