《面向智能電網的需求響應及其電價研究》—智能電網下需求響應及相關電價研究(二)
5.2.7基于拉姆齊定價的峰谷分時電價模型研究
1.需求側響應的經濟學原理
根據經濟學原理,與一般商品市場相似,當將需求響應原理引入到電力市場中時,電力需求也會隨著價格的變化而變化。我們可以通過需求——價格曲線分析需求響應原理,如圖5.2所示。

需求彈性系數可表示為:

需求彈性系數不僅與本時段的價格變化有關,還與其他時段的價格變化有關,分別用自需求彈性系數與交叉彈性系數表示。具體表達式為:

即得到了基于需求彈性矩陣的用戶需求響應模型。
2.需求側響應效益的經濟學模型
根據經濟學原理可知,市場中買者與賣者的行為可以通過供給——需求曲線來研究,如圖5-3所示:
正常情況下電力市場的供給曲線為S。,需求曲線為D,兩條曲線的交點即是市場均衡點。橫坐標每單位KW11所對應的供給曲線的高度值表示發電廠新增lKWh電力供應所產生的成本,對應的需求曲線的高度值表示用戶每節約lKWh用電所發生的成本。由于某種原因供給減少而引起價格上漲的時候,供給曲線將向上移動。在正常的情況下,市場價格是P。但是當供電減少的時候價格要上漲,價格上漲多少取決于用電需求對價格上漲的響應情況。在未引入需求側響應之前,需求彈性往往很小(可以假設成需求無彈性),見圖5-3中曲線D。在價格上漲期間,需求變化量幾乎很小,而電價則從P上漲到P+△P。如果引入需求側響應.即通過一系列措施使需求彈性增加,則在電價上漲期間,電力需求減少△Q=Q2 – Q0。價格上漲幅度△P =P0+△P2 -P0=△P2。


3.拉姆齊定價理論
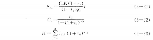
拉姆齊定價理論是由Ramsey在1927年發表的一篇著名文章中提出,不同于按邊際成本定價的最優定價方式,它是一種次最優定價,在考慮對資源配置的消極影響最小的同時,至少允許企業能夠回收固定成本。拉姆齊定價的基本思想是在保證預算平衡的前提下實現經濟福利的最大化。假設電力公司為n類用戶提供服務,由經濟學原理可知,用以表征社會福利的生產者剩余與消費者剩余可以分別表示為:

則以拉姆齊定價基本原則表示的優化問題為

根據最優化理論,對上式構造拉格朗日函數并分別對q求導,得到拉姆齊定價公式:

拉姆齊定價的約束條件是保證企業財務收支平衡,即生產者剩余等于企業固定成本,具體表達式為:

式中,F為企業的固定成本。
由拉姆齊定價公式可知,價格不僅與邊際成本有關,還受用戶需求彈性的影響。價格偏離邊際成本的程度與需求彈性呈反比關系。如果用戶的需求彈性比較大,則過高的價格會引起需求量的大幅度減少,致使用戶的福利損失嚴重,此時應制定一個較低的價格,來保證用戶的經濟福利;如果用戶的需求彈性比較小,則即使價格變動比較大引起的需求變動也比較小,對社會福利影響相對較小。因此,拉姆齊定價考量的是在使供電企業收支平衡的情況下,使全社會總福利達到最大的價格。
4.拉姆齊定價理論在峰谷分時電價中的應用
理性消費者會對價格激勵作出反應,峰谷分時電價的實施正是通過價格手段引導消費者改變用電方式,從而達到削峰填谷等目標。通常在用電高峰時段執行高電價,激勵用戶減少高峰用電量或將用電安排在電價相對較低的平時段和谷時段。保障峰谷分時電價可操作性的一個理論基礎是用戶的消費行為具有彈性,用戶的消費需求會隨著價格的變化而變化,剛戶通常會犧牲自己的舒適度以換取經濟上的利益。
拉姆齊定價正是摹于用戶的需求彈性與企業的邊際成本進行的。因此,通過求得電力用戶在不同時段的需求彈性,結合考慮供電企業在不同時段的供電邊際成本,則可以在不同時段制定不同的價格以引導需求,從而實現社會福利的優化。
(1)供電邊際成本的測算。考慮到電網企業供電邊際成本的不確定性,可以用短期邊際成本近似代替企業的邊際供電成本。短期邊際成本是指電力公司從發電廠購買單位KWh電量所增加的購電成本。發電側市場的開放以及“廠網分開,競價上網”的實施,使得在發電側也實行峰谷電價的條件越來越成熟。考慮到不同的機組在系統中發揮的作用不同,承擔基荷的機組電量效益高、容量效益低,可以通過電量電價回收成本并保證一定的利潤;而承擔調峰任務的機組容量效益高、電量效益低.實際運行過程中應制定較高的價格以保證成本回收。因此.實行兩部制上網電價能夠反映不同機組的效益結構,并能體現新老機組成本結構的差異,有利于融資、有利于實現競爭,促進電力工業的健康發展。這里以發電側峰谷上網電價作為電力企業的供電邊際成本,構建拉姆齊定價模型。
(2)發電側上網峰谷分時電價設計。
①機組容量成本的確定。運用會計成本法確定機組的容量成本,具體計算公式為:

②機組電量電價的確定。不同的機組有不同的發電電量成本,即使同一臺機組在峰段、平段、谷段等不同時段所消耗的燃料費用和水費用、小檢修費等變動成本也是不相同的。因此,基于會計成本法的分時電量電價表達式為:

③機組容量成本的分攤。不同的機組其發電特性以及在系統中所處的位置是不一樣的,如果單純把容量成本歸算到容量電價,電量成本歸算到電量電價,有可能造成發電公司的造價失控。因此,有必要把容量成本分為兩部分:一部分容量成本分攤到基本電價,另一部分容量成本分攤到電量電價。容量成本的具體分攤比例與該機組的運行方式有關。如果該機組的負荷率較高,長時間為電網提供電量,則其運行成本絕大部分可以通過電量電價回收;如果該機組負荷率較低,如調峰機組、事故備用機組等只在緊急狀態下開機,則應該分攤較多的容量費用以保障成本回收。因此,容量成本在基本電價中的分攤系數由該機組的負荷率確定。假如該機組的負荷率為曰,,那么該機組的年基本電價:

可見,機組的負荷率越高,分攤的年基本電價相對越低。
實際電力系統運行中,滿足系統負荷微增所需要的邊際容量成本在不同的時段是不一樣的。在負荷低谷期,由于發電容量充足,容易滿足用戶的負荷需求,則機組的邊際效用低,邊際容量成本低;在用電緊張的負荷高峰期,最大發電容量的限制導致機組往往不能提供充足的電力供應,此時機組的邊際效用高,邊際容量成本也較高。基于此,對應不同的時段,分攤到電量電價的容量成本是不相同的。不同時段的分攤比例視該機組在不同時段的出力狀況確定。提出可以根據機組在不同時段的發電量占機組總發電量的比例來確定不同時段的分攤權重系數。因此,這里提出的分攤比例為:

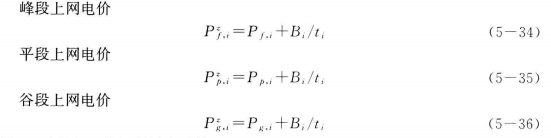
因此,機組i確定的電量電價可以用下式表示為:
峰段電量電價


由此得到,按會計成本法測算出的發電側峰谷分時上網電價表達式為:

(3)供電邊際成本表達式。以上分析確定了在發電側實行峰谷上網電價的情況下每臺機組的上網電價計算模型。供電公司在確定供電邊際成本時,應根據從發電廠(或各機組)購買的電量以及各電廠(或各機組)的上網電價來確定。假設供電公司從m臺機組購買電量,從機組i購買的電量為q.,并向用戶提供電力服務。則供電公司在峰段、平段以及谷段的供電邊際成本分別為:


(5)算例分析。假設系統中有一臺機組,具體參數如表5-1所示:

其他數據如下:單位下瓦投資=4 800元/KW;運行維護費率r=3%;基準折現率=12%;廠用電率=4%;機組可用率=80%;標煤影子價格P= 300元/t:變動增加系數=10%;機組使用年限取為25年。

責任編輯:繼電保護
-
現貨模式下谷電用戶價值再評估
2020-10-10電力現貨市場,電力交易,電力用戶 -
PPT | 高校綜合能源服務有哪些解決方案?
2020-10-09綜合能源服務,清潔供熱,多能互補 -
深度文章 | “十三五”以來電力消費增長原因分析及中長期展望
2020-09-27電力需求,用電量,全社會用電量
-
PPT | 高校綜合能源服務有哪些解決方案?
2020-10-09綜合能源服務,清潔供熱,多能互補 -
深度文章 | “十三五”以來電力消費增長原因分析及中長期展望
2020-09-27電力需求,用電量,全社會用電量 -
我國電力改革涉及的電價問題
-
貴州職稱論文發表選擇泛亞,論文發表有保障
2019-02-20貴州職稱論文發表 -
《電力設備管理》雜志首屆全國電力工業 特約專家征文
2019-01-05電力設備管理雜志 -
國內首座蜂窩型集束煤倉管理創新與實踐
-
人力資源和社會保障部:電線電纜制造工國家職業技能標準
-
人力資源和社會保障部:變壓器互感器制造工國家職業技能標準
-
《低壓微電網并網一體化裝置技術規范》T/CEC 150
2019-01-02低壓微電網技術規范
-
現貨模式下谷電用戶價值再評估
2020-10-10電力現貨市場,電力交易,電力用戶 -
建議收藏 | 中國電價全景圖
2020-09-16電價,全景圖,電力 -
一張圖讀懂我國銷售電價附加
2020-03-05銷售電價附加
-
電氣工程學科排行榜發布!華北電力大學排名第二
-
國家電網61家單位招聘畢業生
2019-03-12國家電網招聘畢業生 -
《電力設備管理》雜志讀者俱樂部會員招募
2018-10-16電力設備管理雜志



