考慮多種用戶價格機制下的綜合型能源售電公司購電競價策略
摘要自新一輪電力市場改革以來,售電公司在國內迅速興起,而其如何參與電力市場競價購電獲取最大利潤成為核心問題之一。結合能源互聯替代背景
摘要


自新一輪電力市場改革以來,售電公司在國內迅速興起,而其如何參與電力市場競價購電獲取最大利潤成為核心問題之一。結合能源互聯替代背景,研究了多種用戶價格機制下的綜合型能源售電公司參與市場競價購電的策略問題。首先介紹了綜合型能源售電公司的結構、運作、對用戶實行的售電價格機制和其參與電力市場競價的流程;然后研究了參與電力市場競價購電過程中的重要部分:綜合型能源售電公司支付函數的模型,為獲得其最優競價策略奠定基礎;最后運用粒子群算法對算例進行仿真求解,分析了各種用戶價格機制、能源替代模式與競價策略之間的關系,得出綜合型能源售電公司參與市場競價購電的最優策略。
0 引言
新一輪電力市場改革促進了電力行業在配電側的開放,具有競爭性的售電公司如何參與電力市場競價獲得最大利潤成為其關注的核心問題之一。影響該問題的兩個關鍵因素是售電公司對用戶實施的多樣化用戶價格機制和能源互聯替代下的多樣性綜合能源。售電公司對用戶實施多樣化的售電價格機制是為滿足各類用戶的需求,吸引更多的用戶,但在獲得更多用戶市場的同時,也應該考慮到多樣化的價格機制對其參與市場競價策略的影響;并且,隨著能源互聯替代技術的發展,多樣化的綜合型能源成為售電公司經營的重要內容,因此除電力外其他形式能源對售電公司競價購電策略的影響也有待研究。
現有對用戶價格機制的研究大多集中在其影響電網安全和發電側盈利的問題上。如,文獻[1-4]研究了向用戶提供高可靠性電價機制的作用及補償。文獻[5-7]探究了對用戶實施階梯電價在市場中的作用。新電改后,不少文獻研究了售電公司的運營問題。如,文獻[8]研究了售電公司關心的核心問題,即在實時電價下效益最大化與風險決策間的關系,但沒有計入用戶價格機制的影響。文獻[9]研究了售電公司實行中斷電價機制獲取效益最大化的策略,雖將中斷電價機制運用到售電側,但是僅僅考慮了利用中斷負荷盈利的問題,未能考慮其對售電公司參與市場競價的影響。文獻[10-11]初步探索了售電公司在不完全信息下,以博弈的方式參與市場競價購電,探究了售電公司競價購電整體框架結構和流程,但沒有探究到用戶價格機制對整體競價購電策略的影響。
能源互聯替代背景下,售電公司逐步轉型為綜合多種能源的服務公司,目前針對綜合型能源對其核心電力事業的競價購電策略影響的研究較少。文獻[12-13]研討了能源互聯網下電能替代的發展路線及其運營模式和相關關鍵技術。文獻[14]介紹了集成熱、電、氣多能源載體的能源中心。文獻[15]研究了將智能能源中心(smart energy hub,SEH)安裝在用戶側使用,雖涉及了能源替代關鍵技術,但未具體運用到售電公司端,也未有相應的研究其在電力方面的影響。
針對上述用戶電價機制和綜合型能源對售電公司參與電力市場競價購電影響的研究不足,本文研究了考慮多種用戶電價機制下的綜合型能源售電公司參與電力市場競價購電策略。文章首先對綜合型能源售電公司的經營結構、其對用戶實施的售電價格機制和其參與電力市場競價流程做出分析。然后建立了中斷電價、高可靠性電價和階梯電價(不包含中斷電價和高可靠性電價的普通型階梯電價)下的綜合型能源售電公司參與市場競價購電的支付函數模型,為求最優的競價購電策略奠定基礎。最后利用粒子群算法對文中算例進行仿真求解,通過求解結果,分別分析了不同用戶價格機制、綜合型能源與售電公司參與市場競價購電策略間的關系,最終得出綜合型能源售電公司在電力市場上最優的購電競價策略。
1 綜合型能源售電公司結構及其參與市場的流程
1.1 綜合型能源售電公司的結構
作為用戶與發電側間的中間商,售電公司成為能源互聯替代的重要組成部分。售電公司將突破單一購電模式而經營多種能源業務。其經營多能源業務的結構如圖1。售電公司的經營范圍不僅僅從市場上購買電能,還可與不具備參與市場的小型清潔能源發電公司合作,并且實現能源業務跨界經營。文中設定的綜合型能源的售電公司為能從市場上購買電能,同時從天然氣公司購買天然氣。
用電高峰時期,當售電公司購電價格高出天然氣價格時,或其參與市場競價失敗時,售電公司可購買更多的天然氣通過SEH將天然氣轉化為電能和熱能,以此減少購電成本或者彌補競價失敗所帶來的損失。SEH內部結構如圖2,天然氣通過能量管理系統(energy manage system,EMS)分配,分別進入微型渦輪機和氣熔爐,進入微型渦輪機的天然氣用來發電,為電力負荷提供電能,同時將產生的熱能提供給熱負荷,進入氣熔爐的天然氣則完全產生熱量來滿足用戶的熱負荷,以熱能的形式來替代電能的消耗,節約資源同時達到能源的高效利用。


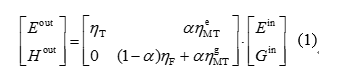
圖2中的傳遞函數為

式中:Ein、Gin分別為進電量和進氣量;ηT為變壓器變比;α為天然氣分配到微型渦輪機的比例;ηe M、ηg MT分別為天然氣通過微型渦輪機轉化為電能和熱能的效率;ηF為氣熔爐的產熱效率;Eout、Hout分別為送出的電量和熱量。
1.2 售電公司對用戶實行的售電價格機制
考慮到售電公司將面臨多種類型的用戶而實行多種類型的售電電價機制,包括可中斷電價、高可靠性電價和遞增式階梯電價。
1)對于實行可中斷電價的用戶,在負荷高峰時期,用戶根據售電公司提供的中斷補償表來中斷相應的負荷,中斷補償表如圖3(a)圖,中斷不同區間段的負荷對應著不同的補償標準。
2)如圖3(b)中,售電價格隨著可靠率的增加而增加,到達最大可靠率時,售電價格達到最大。對于實行高可靠性電價的用戶,售電公司中可能因人為操作不當等因素導致供電不可靠等故障,其將對該類用戶進行高出售電價格十幾倍的停電補償。
3)圖3(c)描述了階梯電價與電量的關系圖,階梯電價的用戶可根據售電公司安排的遞增式階梯電價表來安排用電量。

1.3 售電公司參與市場競價過程
設t時段的市場清算價格為μt,售電公司的投標電價為Pbt,當Pbt>μt時,售電公司競價成功。而在Pbt=μt時可能出現競價成功,但其所需的電量不能完全得到滿足的情況。售電公司對MCP的評價與市場MCP的實際值存在著不一致,因此引入變量ω,ω≥0。售電公司對MCP的評價為(1+ω)μt,市場MCP實際值為μt,當ω=0時表示評價與實際值一致,只要報價Pbt≥(1+ω)μt,就可保證競價成功。
售電公司可根據歷史數據分析得出市場清算電價μt的概率密度函數f(x),在(-∞, d)的概率為

售電公司參與電力市場競價購電流程如圖4所示,通過支付函數,售電公司可得出在最大利潤下的競價購電策略。文章第2部分將對多種用戶價格機制下的綜合型能源售電公司的支付函數模型進行詳細研究。
2 競價策略中的支付函數建模
2.1 綜合型能源售電公司的購電成本
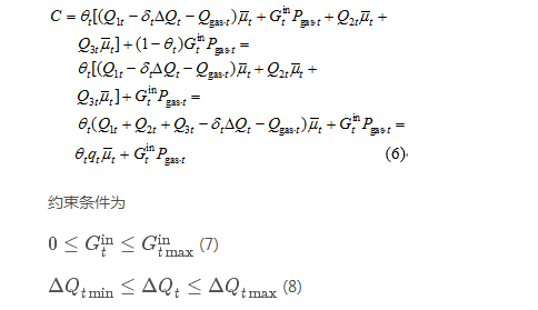
綜合型能源售電公司在用電高峰時,電價超過氣價,可使天然氣通過SEH發電,減少了用戶該時段的中斷電量,同時能起到調節用戶毀約的情況。相比原來被動依賴用戶中斷的調節方式,擁有較大的主動性。綜合型能源售電公司的購電成本由兩部分組成:競價成功時參與市場實時競價購電的成本與售電公司購買天然氣的成本;競價失敗時售電公司為減少失敗賠償購買天然氣的成本。成本表達式模型為

式中:θt為競價成功的概率;Q1t 、Q2t、Q3t 為競價前實施中斷電價、高可靠性電價和階梯電價的用戶分別所需的現貨市場電量;δt為用戶執行中斷合同的概率;ΔQt為中斷量;ΔQtmax為中斷的上限;Qgas˙t
為天然氣發電替代的負荷量;μ¯tμ¯t為售電公司向市場
購電價格;Pgas˙t對應天然氣價格,天然氣的價格與氣體量呈階梯關系;Gin tmax為天然氣使用量上限;qt為售電公司參與市場的投標電量。
為得式(6)中到天然氣進氣量Gin與轉化電量Qgas之間的關系,將式(1)展開:

2.2 綜合型能源售電公司售電收益
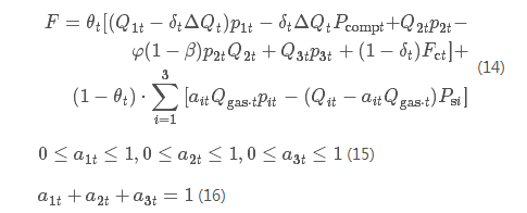
競價成功時,售電公司的售電收益包括去除中斷補償后的售電收益和用戶給予售電公司毀約賠償、售電給實施高可靠性電價的用戶去除停電補償的收益、售電給階梯型電價用戶的收益;競價失敗時,售電公司在不考慮天然氣價格是否小于等于購電價格時適量購買天然氣使用SEH,t時段總售電收益為

式中:p1t、p2t、p3t分別為中斷電價、高可靠性電價和階梯電價;Pcompt為中斷補償價格;Fct為違約賠償;β為可靠率;φ為常數;Ps為競價失敗時售電公司對用戶供電缺額的補償價格;a1t、a2t、a3t分別為天然氣替代的負荷量分配給3類用戶的比例。
2.3 售電公司的支付函數
售電公司的支付函數指售電公司參與整個市場所獲得的利潤:
W=F−CW=F−C (17)
根據交易規則,按售電公司報價從高到低排序得出需求曲線,即售電公司投標電價Pbt與投標電量qt滿足關系:
Pbt=kt(qt+f)Pbt=kt(qt+f) (18)
式中:kt為投標電量與投標報價之間的斜率;f為兩者之間的截距,由于報價Pbt必大于零,根據需求曲線遞減原則,kt必小于零,因而f取絕對值大于qt的負數。
由于售電市場競價剛剛起步,缺乏充足的數據支撐,本文假設MCP服從常見的區間正態分布與均勻分布進行對比分析,研究MCP不同分布情況對最優競價策略的影響。
當市場清算電價μt在[a, b]上服從均勻分布:
f(x)=1b−a=1Lf(x)=1b−a=1L (19)
根據式(3)(4)分別求出競價成功的概率和市場清算電價的期望為

同樣依式(3)(4)可分別求出MCP在正態分布下競價成功的概率和市場清算電價的期望。
文中qt為投標電量,t時段參與市場投標的電量為該時段3類用戶總的負荷需求除去按照合同中斷的負荷和天然氣發電替代的電量,有

3 模型求解
本文在MATLAB工作環境下,基于蒙特卡洛模擬生成某時段各類用戶的負荷需求和價格場景及滿足式(7)(8)(15)(16)(23)的初始變量;將初始變量代入式(20)(21)(22)中,分別求出該場景中的競價成功、失敗的概率和市場清算價格的期望;再將這些參數和變量代入式(6)(14)中求出該場景的成本和收益;利用式(17)求出其利潤;使用粒子群算法對參數進行優化求出最大的利潤值,得出max W下的最優變量;最后通過式(18)(25)計算出最優情況下的k、q值,得出該場景下售電公司參與市場購電最優競價策略,求解流程圖如圖5。

圖5 模型求解流程圖
4 算例分析
算例仿真了24個時段下的售電公司競價購電策略情況。文中根據用戶提供的不同類型的負荷曲線,售電公司分析得到實行中斷電價的用戶所需在現貨市場的初始電量489 MW,實行高可靠性和階梯電價的用戶分別為387 MW和523 MW。對中斷用戶的售電價格依據售電公司和用戶之間的合同價格實施,文中假設其比售電公司參與市場購電價格多出50元/MW。高可靠性電價多出售電公司向市場購電價格95元/MW乘以其可靠率,階梯電價、中斷補償價格和天然氣價格分別見附錄表1、表2和表3。在售電價格機制為長期累計計量情況下,設售電公司各個時段參與現貨市場競價的初始電量相同。同時仿真MCP服從均勻分布和正態分布情況下中斷電量寬幅、可靠率和階梯寬幅對最優策略的影響。
4.1 分布上限與策略間的關系
圖6對應附錄表4,分析了各時段中市場清算電價服從均勻分布上限b隨著時段增加而增加的情況。可以看出,Pb增大導致競價成功的概率增大,雖然購電電價也增加,但其增加的成本小于獲得的收益,因而總利潤不斷增加。由于投標電量q增加,而q增大速率大于報價增大速率,根據式(18) k逐漸減小;隨著b進一步增大,購電報價Pb快速增加,天然氣和中斷量增加來平衡不足,投標電量q減少,k隨之又逐漸增大;當b增加到一定值后,競價成功的概率變小,中斷量和天然氣量逐漸增多,最終增多的成本大于增加的收益,總的利潤減少。

圖6 均勻分布上限與最優策略的關系
4.2 中斷補償表寬幅與策略間的關系
圖7(a)研究了MCP服從均勻分布情況下中斷補償表寬幅對售電公司購電競價的影響。各時段始終保持初始競價電量Q1=489 MW、Q2=387 MW、Q3=523 MW的情況下,選取a=130,b=162處來模擬隨著時段的增加中斷電量的增加對售電公司競價購電策略的影響。圖7(b)研究了MCP在區間[130, 162],期望和方差固定不變的正態分布情況。兩圖中k都先增大后減小,原因是中斷量的增多,損失了該部分的負荷,而競價成功的概率增大,投標電量q增加,然而增加的量少于中斷的量,最終投標電量減少,而投標報價不變,因此k值逐漸增大,中斷量繼續增多時,競價成功的概率提升,增加的q大于中斷的量,最投標電量相比之前時段增加,導致k又隨之減小。由于天然氣起到調節作用,中斷量增加導致節約的成本多于損失的售電收益,利潤增多;隨著中斷電量進一步增加,超出天然氣調節補償范圍,售電公司損失了該部分負荷的售電收益,最終利潤減少。
對比分析圖7(a)(b),k和利潤的變化趨勢相同。但兩圖中的最優點位置不同。可知,MCP的分布情況的不同對最優策略的變化趨勢影響不大,只是最優點的位置發生了改變。


圖7 中斷量寬幅與最優策略間的關系
4.3 可靠率與策略間的關系
圖8仿真了高可靠率與售電公司參與市場競價購電的關系。其中圖8(a)仿真了MCP服從均勻分布情景下的高可靠率與最優策略間的關系。圖8(b)仿真了MCP服從正態分布的情景。兩圖中k逐漸變小,總利潤增多。原因是可靠率的提高增加了競價成功的概率,售電公司投標電量增多,而報價幾乎不變,因而k逐漸變小;隨著高可靠性電價的可靠率逐漸提升,售電公司報價逐漸增大,競價成功概率迅速降增大,天然氣和中斷量減少,投標電量q增加,但增加的成本比增加收益小,利潤增多。
對比兩圖可看出,不同MCP分布情景下,可靠率的改變不會改變最優策略變化趨勢,而改變了最優位置。

圖8 可靠率與最優策略間的關系
4.4 階梯電量寬幅與策略間的關系
圖9研究在同一檔情況下階梯寬幅對競價策略的影響。圖9(a)仿真了MCP服從均勻分布情景下的階梯寬幅與最優策略間的關系,圖9(b)仿真了

圖9 階梯寬幅與最優策略間的關系
MCP服從均勻分布的情景。兩圖中k都先減小后增大,利潤先增加后減少。原因是:增加的負荷量多于天然氣和中斷負荷的調節量,而報價不變,則k逐漸減小,當中斷量和天然氣調節能力大于階梯電量需求的增量時k值相較于前時段變大;由于可中斷負荷和天然氣之間的協調調節,隨著電量需求的增加,而競價成功的概率不變,售電公司獲得了更多的市場,從而獲得更多的收益。隨著階梯電量的進一步增加,提供協調的補償負荷已不能繼續平衡需求,總利潤將減少,此時應將利潤減少到超出規定利潤范圍部分時的階梯電量歸為下一檔。
對比兩圖曲線趨勢相似,只是在具體參數點上的數值有所區別。因而,不同的MCP分布情況下,售電公司應該制定符合該種分布下的階梯電價表。
4.5 天然氣分配率與策略間的關系
圖10對應附錄表5,分析了綜合型能源售電公司中的天然氣分配到氣熔爐和微型渦輪機中的比例對售電公司的競價關系的影響。起初k值和利潤不發生變化,原因是本文未計及天然氣產熱和產電成本的關系,所以α在一定范圍內的天然氣發電不會對競價策略造成影響,在實際生產中,需考慮到產熱和產電的成本問題,α的取值將唯一。隨著α進一步減少,中斷的電量逐漸增多,熱能出現過剩,雖然熱負荷能得到天然氣燃燒熱量的補償,但天然氣轉化的電負荷已經不足以補償電負荷,k值增大,總利潤減少。

圖10 天然氣分配率與最優策略的關系
4.6 用戶執行中斷合同的概率與策略間的關系
圖11研究了中斷負荷用戶執行中斷合同的概率δ與最優競價購電策略間的關系。中斷概率的增大增加了競價成功的概率,因而售電公司參與市場競價的電量增多,且報價幾乎不變,依據式(18),k逐漸變小;競價成功的概率增大,售電公司獲得的利潤大于其損失的中斷負荷造成的損失,利潤增多。同時從圖11中可見,當δ=0時售電公司獲得的利潤為56 032.77元,δ=1時利潤為57 791.02元,其利潤相差并不大,主要是由于售電公司主動的使用天然氣對用戶不執行中斷合同時的調節,使得其能避免更大的損失。

圖11 用戶執行中斷合同概率與最優策略間的關系
5 結論
本文研究多種用戶價格機制下的綜合型能源售電公司參與市場競價購電的策略。通過算例可以總結出:1)市場清算價格的精確預測對其參與市場競價的策略的影響較大,因而,售電公司在參與市場前應充分的收集好歷史交易數據,并做出高效的預測。2)可中斷負荷的補償費用與中斷量密切相關,中斷量不足,總的利潤較小,中斷量過多,損失了此部分的利潤,獲得的總利潤仍然較小,合理的寬幅制定能得出最優的報價與競價電量間的關系。3)高可靠性電價機制下,可靠率的微小變動將會對整體的競價成功幾率造成影響,售電公司需提高自身的服務質量和供電過程中的操作高效,提升可靠性。4)階梯電價中,同檔電量的寬幅對其利潤和競價成功的概率的影響不大,但是不當的電量寬幅仍然會較大地影響報價-電量曲線的關系。5)能源互聯替代中,售電公司安排天然氣進入微型渦輪機和氣熔爐的比例是其他形式的能源參與負荷調節的關鍵。6)MCP在均勻分布和正態分布下的售電公司最優購電競價策略是不同的。
7)用戶是否執行中斷合同對售電公司最終收益與其參與市場最優的競價購電策略有一定影響,但由于SEH使得售電公司具有主動應對這類不確定因素的調節能力,能減少此因素對其造成的損失。
下一階段的研究重點在于進行用戶售電價格機制與售電價格的聯合優化、以及考慮階梯電價、可中斷電價、高可靠性電價并存情況下對售電公司競價策略的影響。
參考文獻
[1] 張欽,白建華,陳立斌.電力市場下基于分層可靠性服務的可靠性電價體系研究[J].電網技術,2011,35(12):165-170. Zhang Qin,Bai Jianhua,Chen Libin.Study on reliability pricing system in electricity market based on hierarchical reliability service[J].Power System Technology,2011,35(12):165-170(in Chinese).
[2] 吳政球,葉世順,匡文凱.電力市場環境下的可靠性電價與可靠性交易[J].電網技術,2006,30(4):74-77.Wu Zhengqu,Ye Shishun,Kuang Wenkai.Reliability transaction and reliability pricing in electricity market environment[J].Power System Technology,2006,30(4):74-77(in Chinese).
[3] Billinton R,Cui L,Pan Z.Qualitative reliability considerations in the determination of performance based rates and customer service[J].IET Proceedings-Generation Transmission and Distribution,2002,149(6):640-644.
[4] 王文山,王鶴,韓英豪.電力市場中高靠性電價的設計研究[J].華東電力,2007,35(11):72-75. WangWenshan,Wang He,Han Yinghao.Pricing of electricity with high reliability in electricity markets[J].East China Electric Power,2007,35(11):72-75(in Chinese).
[5] 黃海濤. 居民分時階梯電價聯合優化模型研究[J].電網技術,2012,36(10):253-258. Huang Haitao.A joint optimization model of residential time-of-use block electricity rate[J].Power System Technology,2012,36(10):253-258(in Chinese).
[6] 黃海濤,張粒子,喬慧婷,等.基于變密度聚類的居民階梯分段電量制定方法[J].電網技術,2010,34(11):111-116. Huang Haitao,Zhang Lizhi,Qiao Huiting,et al.A method to determine step-shaped electricity consumption levels for residential area based on variable-density clustering[J].Power System Technology,2010,34(11):111-116(in Chinese).
[7] 趙會茹,王玉瑋,張超,等.階梯電價下居民峰谷分時電價測算優化模型[J].電力建設,2016,37(3):17-23.Zhao Huiru,Wang Yuwei,Zhang Chao,et al.Optimization model of residential time-of-use tariff calculation under multi-step electricity price[J].Electric Power Construction,2016,37(3):17-23(in Chinese).
[8] 張欽,王錫凡,王建學.需求側實時電價下供電商購售電風險決策[J].電力系統自動化,2010,34(3):22-27. Zhang Qin,Wang Xifan,Wang Jianxue.Electricity purchasing and selling risk decision for power supplier under real-time pricing[J].Automation of Electric Power Systems,2010,34(3):22-26(in Chinese).
[9] 羅琴,宋依群.售電市場環境下計及可中斷負荷的營銷策略[J].電力系統自動化,2015,39(17):134-139.Luo Qin,Song Yiqun.Marketing strategy in competitive retail market considering interruptible load[J].Automation of Electric Power Systems,2015,39(17):134-139(in Chinese).
[10] 段登偉,劉俊勇.基于不完全信息靜態博弈論的購電商競價策略研究[J].電力自動化設備,2003,23(7):10-14. Duan Dengwei,Liu Junyong.Buyer’s bidding strategies based on the static game theory with incomplete information[J].Electric Power Automation Equipment,2003,23(7):10-14(in Chinese).
[11] 段登偉. 配電市場管制及供電公司風險規避的定價研究[D].成都:四川大學,2005.
[12] 孫毅,許鵬,單葆國,等.售電側改革背景下“互聯網+”電能替代發展路線[J].電網技術,2016,40(12):3649-3655. Sun Yi,Xu Peng,Shan Baoguo,et al.Road map for “Internet Plus” energy substitution in electricity retail market reform in China[J].Power System Technology,2016,40(12):3649-3655(in Chinese).
[13] 曾鳴,楊雍琦,李源非,等.能源互聯網背景下新能源電力系統運營模式及關鍵技術初探[J].中國電機工程學報,2016,36(3):681-691. Zeng Ming,Yang Yongqi,Li Yuanfei,et al.The preliminary research for key operation mode and technologies of electrical power system with renewable energy sources under energy internet[J].Proceedings of the CSEE,2016,36(3):681-691(in Chinese).
[14] Geidl M,Koeppel G,Favre-Perrod P,et al.Energy hubs for the future[J].IEEE Power & Energy Magazine,2007,5(1):24-30.
[15] Bahrami S,Sheikhi A.From demand response in smart grid toward integrated demand response in smart energy hub[J].IEEE Transactions on Smart Grid,2016,7(2):650-658.
原標題:考慮多種用戶價格機制下的綜合型能源售電公司購電競價策略

責任編輯:lixin
免責聲明:本文僅代表作者個人觀點,與本站無關。其原創性以及文中陳述文字和內容未經本站證實,對本文以及其中全部或者部分內容、文字的真實性、完整性、及時性本站不作任何保證或承諾,請讀者僅作參考,并請自行核實相關內容。
我要收藏
個贊
-
廣州電力交易中心關于發布2018年4月云南送廣東月度增量掛牌交易結果的通知
2018-04-12西電東送 -
廣州電力交易中心關于開展2018年4月云南送廣東月度增量掛牌交易的通知
2018-04-12西電東送 -
廣西電力交易中心關于開展2018年5月份集中競價需求電量申報的通知
2018-04-12廣西
-
云南公布2022年電力交易服務費收費標準
2021-12-222022年電力交易服務費 -
北京電力交易中心公示1家售電公司注冊信息變更有關情況
2020-10-30售電公司,電力市場,北京電力交易中心 -
重慶零售側掛牌交易操作辦法征求意見稿:采用“雙掛雙摘”模式
-
廣西電力市場2021年5月月度競價交易價格環比上漲近9分 首次出現……
2021-04-26廣西電力市場 -
【重磅披露】國家電網前三季凈利不足200億,同比降幅仍超50%!(附國網利潤表)
2020-11-03國家電網,毛偉明,電改 -
14起典型電力事故案例分析,電力人必看!
2020-11-02典型電力事故,案例分析,電力
-
售電必備技巧:電力營銷、風險規避、交易和運營策略
2020-10-21電力交易,電價,售電研討會 -
全國售電市場發展趨勢及售電公司盈利模式
2020-10-20售電,售電公司,售電研討會 -
售電|售電市場絞殺激烈,售電公司該如何度過售電寒冬?
2020-10-16售電,寒冬,電網公司



